24小時聯系電話:18217114652、13661815404
中文
技術專題
材料特性如何影響高速PCB信號性能
正如在涉及PCB設計和制造過程的各種資料中指出的那樣,在選擇層壓板時,產品開發人員需要熟悉多種材料屬性。PCB頻率越復雜且頻率越高,這些屬性就變得越關鍵。它們包括:
材料經過層壓過程以及隨后的冷卻過程后如何收縮。
材料在層壓循環中的行為。
物料如何鉆孔。
怎樣制版。
Dk或介電常數e?在層壓板的各種厚度上如何變化以及它如何隨頻率變化。影響因素包括:
將材料(真空除外)的介電常數與真空進行比較。
這種比較產生了一個e?,它表示了這些材料與真空相比對速度和電容的影響。
材料的Df或損耗角正切如何影響PCB的操作。
這是衡量RF信號中有多少能量在PCB的電介質中損耗的度量。
當一種材料被稱為高速時,這就是被參考的特性。
這些屬性如何影響這些?
支持將低Dk層壓板用于復雜PCB(如底板)的最初論點是,它可能更薄。希望使底板變薄的原因是,它更易于電鍍孔,從而降低了長寬比,并且更適合用于連接諸如壓配合連接器的結構。另一個論點是,如果通孔較小(由于電路板較薄),則它們的電容將較少,從而不會干擾高速信號。另一個考慮因素是,使用低Dk層壓板將允許更寬的走線,從而降低銅損。
根據上述參數,對低Dk和低DF材料進行了比較研究。該研究中的信息及其結果將在本文的下一部分中介紹。
低介電材料的好處是什么?
低Dk層壓板的優點及其在高速差分信號方面提供的優勢包括:
如上所述,對于選擇來產生給定阻抗的給定走線寬度,在走線及其相鄰平面之間使用的層壓板可以更薄,從而使PCB整體更薄。
如果選擇F 或選擇產生給定阻抗的給定厚度的層壓板,走線寬度可以更寬。由于跡線中的趨膚效應損失,這導致較低的信號損失。
注意:在非常高的頻率下,導體的電流將不再均勻地流過導體的整個橫截面。相反,它在表面附近擁擠。這是皮膚效應喪失的現象。
前述好處似乎是基于以下理由使用低Dk材料的有力論據:
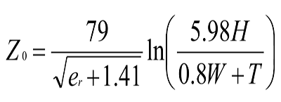
下面所示的等式1通常用于計算表面微帶傳輸線的阻抗。已經證明它與現代PCB中使用的尺寸不正確,但是它說明了Dk或e?如何影響阻抗。
等式中的變量為:H =平面上方的高度,W =跡線寬度,T =跡線厚度,e?=相對介電常數或Dk,Z?=阻抗(以歐姆為單位)。
請注意,降低e?會導致較高的阻抗,相反,提高e?會導致較低的阻抗。
如果使用較低的e層壓板,則對于給定的阻抗,走線寬度可以變寬,從而降低了銅損。
公式1.阻抗公式
導致低DK材料的大型,高層數背板的因素似乎很有吸引力
在當今高性能產品中使用的較大的,高層數的背板,其中存在大量的高速差分對,例如Internet核心路由器和交換機,其厚度可高達400密耳(10毫米)。這種厚度帶來了兩個不同的問題,包括:
通孔的鉆孔和電鍍可能很困難。
這些長而大的孔的寄生電容可能會在非常高的數據速率下對信號質量產生不利影響,因此需要進行“反向鉆孔”以去除孔中的大部分多余銅。
注意:利用當今產品的高數據速率,無法將背板做得足夠薄以避免執行背鉆過程。
較低的Dk層壓板將減少獲得所需阻抗所需的層壓板厚度,并降低PCB的整體厚度和空穴電容。
跡線寬度問題包括:
從上面的方程式1可以看出,對于平面上方的給定高度,較低的Dk層壓板可以為給定的目標阻抗使用更寬的跡線。
如上所述,使用更寬的走線的動機是通過增加走線的表面積來減少由“集膚效應”現象引起的信號損失。
根據前述內容,對于那些包含以高速差分信號為特征的高速背板的產品,使用低Dk層壓板似乎是“不費吹灰之力”的決定。當您考慮減少PCB的整體厚度并增加走線時,尤其如此。但是,就像生活中的大多數事物一樣,一切都有很多優點的事物也都有缺點。在低Dk層壓板的情況下,問題是成本(低Dk層壓板更昂貴),供應來源有限且交貨時間長。從最近對COVID-19的影響來看,
如果有另一種方法怎么辦?
基于與低Dk層壓板相關的優點和缺點的平衡,值得考慮一種替代方法。通過使用低損耗材料可以找到這種方法。損耗角正切或Tan(f)表示電磁場中通過電介質吸收的能量的數量。并且吸收的能量隨頻率增加。
為了確定低Dk和低Df層壓板之間的性能特征,我們進行了以下分析。
圖1中的曲線顯示了當走線寬度從5密耳(127微米)變化到10密耳(254微米)時,銅損耗的減少與33“(84 cm)帶狀線信號路徑走線寬度變化的關系。可以看出,兩個跡線寬度之間幾乎沒有差異。當然不足以帶來實質性的改善。

圖1.銅損與 33英寸帶狀線信號路徑的走線寬度。跡線寬度變化,5密耳和10密耳
接下來,圖3顯示了22層板的堆疊,該板在106密耳(2.56毫米)厚的板上具有4密耳(101微米)寬的帶狀線跡線。

圖3. 22層,106密耳(2.56毫米)厚的板和4密耳(106微米)寬的帶狀線跡線
現在,我們將圖3與圖4進行比較,圖22是一塊22層板的堆疊,該板上在160密耳(4毫米)厚的PCB上具有8密耳寬的帶狀線跡線。根據圖1、2、3和4中提供的信息,我們可以得出以下結論:

圖4. 22層,160密耳(4.4毫米)厚的板和8密耳(203微米)寬的帶狀線跡線
如果人們通過將跡線寬度從5 mils更改為10 mils(僅通過將Dk減小一半以上)來檢查2.5 GHz(大約5 Gb / S)時的損耗變化(僅通過將Dk減小一半以上),就可以將路徑上的損耗僅提高1 dB。長33英寸(84厘米)。這不是實質性的收獲。
如果通過使用損耗較低的疊層來檢查相同頻率下的損耗變化,則損耗降低為2 dB。
如果使用一種較新的超低損耗層壓板,則2.5 GHz的改善幅度超過6 dB。
圖3顯示,將走線寬度從4密耳增加到8密耳,會使22層PCB的厚度增加60%。
使用低Dk層壓板以允許使用更寬的跡線不會導致損耗的顯著改善。
使用低損耗的層壓板可以使板整體更薄,而不是通過使走線更寬并使用低DK層壓板來減少損耗。它還可以顯著提高性能。
選擇低Df層壓板與低Dk低層壓板所反映出的兩個最明顯的因素非常簡單:低Df層壓板有很多貨源,并且價格比低Dk層壓板便宜得多。但是,更重要的是,它們提供了更好的性能。
利用當今復雜的高速電路板,產品開發人員一直在尋找改善產品整體性能的方法。通常,假設使用低Dk層壓板并增加走線的寬度將顯著改善整體性能。Dk層壓板是單一來源的,價格昂貴,交貨時間長。但是,詳細的分析表明,提高性能的更好方法是使用更便宜,使用范圍更廣的低Df層壓板,該層壓板還可以顯著提高性能。

